题目内容
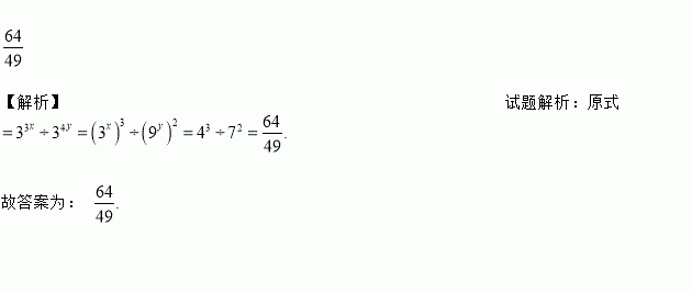
若3x=4,9y=7,则33x-4y的值为___.
【解析】试题解析:原式 故答案为:
练习册系列答案
相关题目
探究函数
的图象与性质,下面是探究过程,请补充完整:
(
)下表是
与
的几组对应值.
|
|
|
|
|
|
|
|
|
|
|
|
|
|
|
|
|
|
|
|
|
|
|
|
|
|
函数
的自变量
的取值范围是__________,
的值为__________.
(
)描出以上表中各对对应值为坐标的点,并画出该函数的大致图象.
(
)进一步探究函数图象发现:
①函数图象与
轴有__________个交点,所以对应方程
有__________个实数根.
②方程
有__________个实数根.
③结合函数的图象,写出该函数的一条性质__________.
![]()