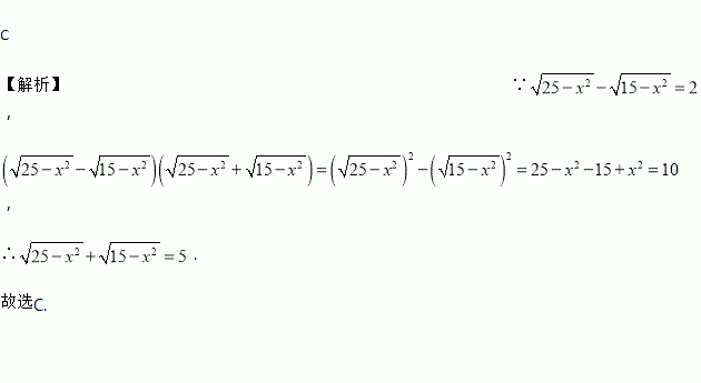
题目内容
已知,则的值为( )
A. 3 B. 4 C. 5 D. 6
如图,直线AB,CD相交于点O,OE⊥AB,∠BOD=20°,则∠COE等于 度.
如图,在足球比赛中,甲带球向对方球门PQ进攻,当他带球冲到A点时,同样乙已经助攻冲到B点,丙助攻到C点.有三种射门方式:第一种是甲直接射门;第二种是甲将球传给乙,由乙射门;第三种是甲将球传给丙,由丙射门.仅从射门角度考虑,应选择的射门方式是( )
A. 第一种 B. 第二种 C. 第三种 D. 无法确定
已知实数a,b,c在数轴上的位置如图所示,化简|a|﹣.
下列各式中,正确的是( )
A. x2•x3=x6 B. =x C. =x﹣1 D. x2﹣x+1=(x﹣)2+
在Rt△ABC中,∠C=90°,c为斜边,a、b为直角边,则化简 的结果为( )
A. 3a+b﹣c B. ﹣a﹣3b+3c C. a+3b﹣3c D. 2a
甲、乙两位同学对代数式(a>0,b>0),分别作了如下变形:
甲:
乙:
关于这两种变形过程的说法正确的是( )
A. 甲、乙都正确 B. 甲、乙都不正确 C. 只有甲正确 D. 只有乙正确
解下列方程:
(1)2x2-x=1; (2)x2+4x+2=0.
将线段AB在坐标系中作平行移动,已知A(-1,2),B(1,1),将线段AB平移后,其两个端点的坐标变为A(-2,1),B(0,0),则它平移的情况是( ).
A. 向上平移了1个单位长度,向左平移了1个单位长度
B. 向下平移了1个单位长度,向左平移了1个单位长度
C. 向下平移了1个单位长度,向右平移了1个单位长度
D. 向上平移了1个单位长度,向右平移了1个单位长度