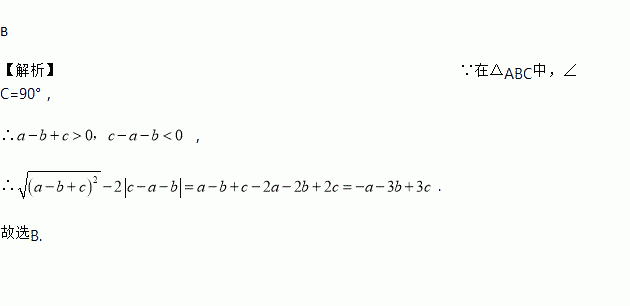
题目内容
在Rt△ABC中,∠C=90°,c为斜边,a、b为直角边,则化简 的结果为( )
A. 3a+b﹣c B. ﹣a﹣3b+3c C. a+3b﹣3c D. 2a
下列实数3.14,,π,,0.121121112…,中,有理数有( )个.
A. 1 B. 2 C. 3 D. 4
如图,P为⊙O的直径BA延长线上的一点,PC与⊙O相切,切点为C,点D是⊙上一点,连接PD.已知PC=PD=BC.下列结论:
(1)PD与⊙O相切;(2)四边形PCBD是菱形;(3)PO=AB;(4)∠PDB=120°.
其中正确的个数为( )
A.4个 B.3个 C.2个 D.1个
如果实数a在数轴上的位置如图所示,那么=_____.
已知,则的值为( )
A. 3 B. 4 C. 5 D. 6
下列运算结果正确的是( )
A. =﹣9 B. C. D.
如图,三角形OAB的顶点A的坐标为(3,5),点B的坐标为(4,0),把三角形OAB沿x轴向右平移得到三角形CDE,如果CB=1,那么点D的坐标为________________
如图,某小区规划在一个长为16m、宽为9m的矩形场地ABCD上修建三条同样宽的小路,使其中两条与AB平行,另一条与AD平行,其余部分种草.若草坪部分的总面积为112m2,求小路的宽度.若设小路的宽度为xm,则x满足的方程为__________________.
已知a为的整数部分,b-1是400的算术平方根,求的值.