题目内容
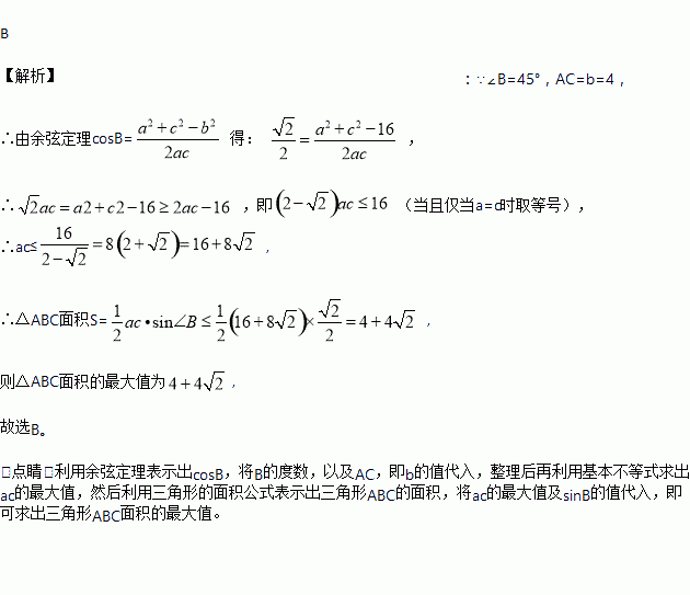
在△ABC中,∠B=45°,AC=4,则△ABC面积的最大值为( )
A. 4 B. 4+4 C. 8 D. 8+8
如图,已知抛物线(其中)与x轴交于点A、B(点A在点B的左侧),与y轴交于点C,抛物线的对称轴l与x轴交于点D,且点D恰好在线段BC的垂直平分线上.
(1)求抛物线的关系式;
(2)过点的线段MN∥y轴,与BC交于点P,与抛物线交于点N.若点E是直线l上一点,且∠BED=∠MNB-∠ACO时,求点E的坐标.
填在下面各正方形中的四个数之间都有相同的规律,根据这种规律,m的值是( ).
A. 150 B. 152 C. 158 D. 160
在一次中学生田径运动会上,根据参加男子跳高初赛的运动员的成绩(单位:m),绘制出如下两幅统计图.请根据相关信息,解答下列问题:
(1)扇形统计图中a= ,初赛成绩为1.70m所在扇形图形的圆心角为
(2)补全条形统计图;
(3)这组初赛成绩的众数是 m,中位数是 ;
(4)根据这组初赛成绩确定8人进入复赛,那么初赛成绩为1.60m的运动员杨强能否进入复赛?为什么?
如图,AB是⊙O的弦,AC是⊙O的切线,A为切点,BC经过圆心O.若∠B=25°,则∠C=_____________.
如图,直线m∥n,∠1=70°,∠2=30°,则∠A等于( )
A. 30° B. 35° C. 40° D. 50°
如图14,点E,F分别在正方形ABCD的边AB,BC上,且EC⊥DF,垂足为G,若AE=2,BE=1,求DF的长.
(3分)如图,在菱形ABCD中,∠B=60°,AB=1,延长AD到点E,使DE=AD,延长CD到点F,使DF=CD,连接AC、CE、EF、AF,则下列描述正确的是( )
A.四边形ACEF是平行四边形,它的周长是4
B.四边形ACEF是矩形,它的周长是
C.四边形ACEF是平行四边形,它的周长是
D.四边形ACEF是矩形,它的周长是
在数轴上,到1这个点的距离是3的点所表示的数是_________________。