题目内容
实数4的算术平方根是______.
下列运算正确的是( )
A. 2a +3b = 5ab B. a2·a3=a5 C. (2a) 3 = 6a3 D. a6+a3= a9
经过十多年的成长,中国城市观众到影院观影的习惯已经逐渐养成:2010年,某影院观众人次总量才23400,但到2016年已经暴涨至13.5万.其中13.5万用科学计数法表示为_______________.
一个数值转换器,如图所示:
(1)当输入的x为16时.输出的y值是 ;
(2)若输入有效的x值后,始终输不出y值,请写出所有满足要求的x的值,并说明你的理由;
(3)若输出的y是,请写出两个满足要求的x值: .
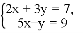
如果方程组的解是方程的一个解,则的值为____________.
如图,将线段AB平移得到线段CD,点A(,4)的对应点为C(4,7),则点B(4,1)的对应点D的坐标为( )
A. (2,1) B. (2,3) C. (1,3) D. (1,2)
设C为线段AB的中点,四边形BCDE是以BC为一边的正方形.以B为圆心,BD长为半径的⊙B与AB相交于F点,延长EB交⊙B于G点,连接DG交于AB于Q点,连接AD.
求证:(1)AD是⊙B的切线;(2)AD=AQ;(3)BC2=CF•EG.
某班同学毕业时都将自己的照片向全班其他同学各送一张表示留念,全班共送1035张照片,如果全班有x名同学,根据题意,列出方程为( )
A. x(x+1)=1035 B. x(x﹣1)=1035×2 C. x(x﹣1)=1035 D. 2x(x+1)=1035
小明、小华用除了正面的数字不同其他完全相同的4张卡片玩游戏,卡片上的数字分别是2、4、5、6,他俩将卡片洗匀后,背面朝上放置在桌面上,小明先抽,小华后抽,抽出的卡片不放回
(1)若小明恰好抽到了标注4的卡片,直接写出小华抽出的卡片上的数字比4大的概率是多少;
(2)小明、小华约定,若小明抽到的卡片的标注数字比小华的大,则小明胜:反之,则小明负,你认为这个游戏是否公平?请用树状图或列表法说明理由.