题目内容
计算: .
时钟上的秒针旋转一周是60秒,则旋转10到秒时,形成的旋转角是( )度
A. 10 B. 20 C. 30 D. 60
如图,在△ABC中,点D在边AB上,DE∥BC,DF∥AC,DE、DF分别交边AC、BC于点E、F,且.
(1)求的值;
(2)联结EF,设=, =,用含、的式子表示.
将抛物线向右平移2个单位后得到的新抛物线的表达式为( )
A. B.
C. D.
2016年共享单车横空出世,更好地解决了人们“最后一公里”出行难的问题,截止到2016年底, “ofo共享单车”的投放数量是“摩拜单车”投放数量的1.6倍,覆盖城市也远超于“摩拜单车”, “ofo共享单车”注册用户量约为960万人,“摩拜单车”的注册用户量约为750万人,据统计使用一辆“ofo共享单车”的平均人数比使用一辆“摩拜单车”的平均人数少3人,假设注册这两种单车的用户都在使用共享单车,求2016年“摩拜单车”的投放数量约为多少万台?
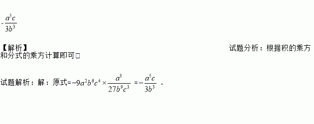
不改变分式的值,将分式的分子、分母的各项系数都化为整数:______.
如图,已知△ABC的六个元素,则下列甲、乙、丙三个三角形中和△ABC全等的图形是( )
A. 甲 B. 乙 C. 丙 D. 乙与丙
如图所示,△ABC中,CE平分∠ACB,CF平分∠ACD,且EF∥BC交AC于点M,若EF=5,则CE2+CF2=___.
如图,△ABC是等边三角形,AO⊥BC,垂足为点O,⊙O与AC相切于点D,BE⊥AB交AC的延长线于点E,与⊙O相交于G,F两点.
(1)求证:AB与⊙O相切;
(2)若AB=4,求线段GF的长.