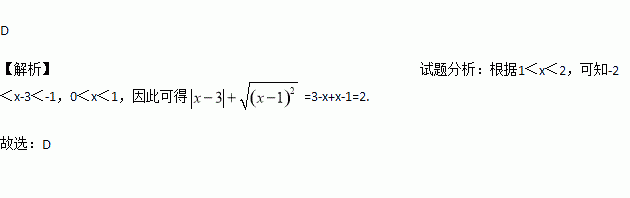
题目内容
若1<x<2,则的值为( )
A. 2x-4 B. -2 C. 4-2x D. 2
如图,在半径为、圆心角为45 º的扇形AOB内部作一个正方形CDEF,使点C在OA上,点D、E在OB上,点F在上.
(1)求正方形CDEF的边长;
(2)求阴影部分的面积
二次函数y=ax2+bx+c(a≠0)的部分对应值如下表:
x
…
﹣3
﹣2
0
1
3
5
y
7
﹣8
﹣9
﹣5
则二次函数y=ax2+bx+c在x=2时,y=______.
化简求值: ,其中.
已知m是整数,且,那么m的值等于 ;
在式子: 、 、 、、中,分式的个数是( )
A. 2 B. 3 C. 4 D. 5
解方程:4x﹣2(﹣x)=1
3的相反数是( )
A. B. ﹣ C. 3 D. ﹣3
如图,在△ABC中,∠ACB=90°,∠A=30°,BC=4,以点C为圆心,CB长为半径作弧,交AB于点D;再分别以点B和点D为圆心,大于BD的长为半径作弧,两弧相交于点E,作射线CE交AB于点F,则AF的长为( )
A. 5 B. 6 C. 7 D. 8