题目内容
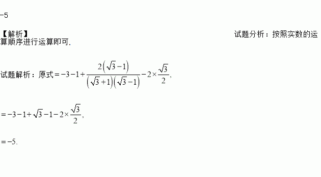
计算:
.
练习册系列答案
相关题目
某校篮球队13名同学的身高如下表:
身高(cm) | 175 | 180 | 182 | 185 | 188 |
人数(个) | 1 | 5 | 4 | 2 | 1 |
则该校篮球队13名同学身高的众数和中位数分别是( )
A. 182,180 B. 180,180 C. 180,182 D. 188,182
题目内容
计算:
.
某校篮球队13名同学的身高如下表:
身高(cm) | 175 | 180 | 182 | 185 | 188 |
人数(个) | 1 | 5 | 4 | 2 | 1 |
则该校篮球队13名同学身高的众数和中位数分别是( )
A. 182,180 B. 180,180 C. 180,182 D. 188,182