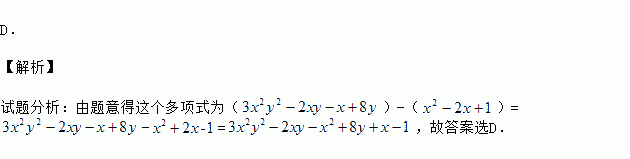
题目内容
若多项式
与某多项式的差为
,则这个多项式为( ).
A.
B.![]()
C.
D.![]()
练习册系列答案
相关题目
某校篮球课外活动小组21名同学的身高如下表
身高(cm) | 170 | 176 | 178 | 182 | 184 |
人数 | 4 | 6 | 5 | 4 | 2 |
则该篮球课外活动小组21名同学身高的众数和中位数分别是( )
A. 176,176 B. 176,177 C. 176,178 D. 184,178
C 【解析】试题分析: 身高为176的人数最多,故身高的众数为176;共21名学生,中位数落在第11名学生处,第11名学生的身高为178,故中位数为178.故选C.