题目内容
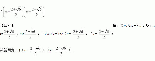
在实数范围内分解因式: _____________.
下列计算正确的是( )
A. -3+2=1 B. |-2|=-2 C. 32×(-3)=-27 D. -2×(-)-1=1
如果关于x的一元二次方程k2x2﹣(2k+1)x+1=0有两个不相等的实数根,那么k的取值范围是_____.
如图,长方形中,边在轴上(点在轴的正半轴上), , ,已知,反比例函数的图像经过点.
求:点的坐标和反比例函数的解析式.
如图,在中, , 平分,如果, ,那么的面积等于__________.
已知在中, , , 边上的高等于,那么的长是( )
A. B. C. 或 D. 无法确
数轴上点A,B,C的位置如图所示,点C是线段AB的中点,点A表示的数比点C表示的数的两倍还大3,点B和点C表示的数是互为相反数.求点C表示的数.
下列计算正确的是( )
A. B.
C. D.
如图,点G是正方形ABCD对角线CA的延长线上任意一点,以线段AG为边作一个正方形AEFG,线段EB和GD相交于点H.若AB=,AG=1,则EB=_____.