题目内容
如图,AB是⊙O的直径,∠ABT=45°,AT=AB.
(1)求证:AT是⊙O的切线;
(2)连接OT交⊙O于点C,连接AC,求tan∠TAC.
![]()
![]()
【考点】切线的判定;解直角三角形.
【专题】证明题.
【分析】(1)根据等腰三角形的性质求得∠TAB=90°,得出TA⊥AB,从而证得AT是⊙O的切线;
(2)作CD⊥AT于D,设OA=x,则AT=2x,根据勾股定理得出OT=![]()
x,TC=(![]()
﹣1)x,由CD⊥AT,TA⊥AB得出CD∥AB,根据平行线分线段成比例定理得出![]()
=![]()
=![]()
,即![]()
=![]()
=![]()
,从而求得CD=(1﹣![]()
)x,AD=2x﹣2(1﹣![]()
)x=![]()
x,然后解正切函数即可求得.
【解答】解:(1)∵∠ABT=45°,AT=AB.
∴∠TAB=90°,
∴TA⊥AB,
∴AT是⊙O的切线;
(2)作CD⊥AT于D,
∵TA⊥AB,TA=AB=2OA,
设OA=x,则AT=2x,
∴OT=![]()
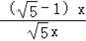
x,
∴TC=(![]()
﹣1)x,
∵CD⊥AT,TA⊥AB
∴CD∥AB,
∴![]()
=![]()
=![]()
,即![]()
=![]()
=![]()
,
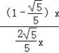
∴CD=(1﹣![]()
)x,TD=2(1﹣![]()
)x,
∴AD=2x﹣2(1﹣![]()
)x=![]()
x,
∴tan∠TAC=![]()
=![]()
=![]()
.
![]()
![]()
【点评】本题考查了切线的判定,勾股定理的应用,平行线的判定和性质,解直角三角形等,作出辅助线构建直角三角形是解题的关键.
练习册系列答案
相关题目