题目内容
在平面直角坐标系xOy中,点P在第四象限,且点P到x轴的距离为1,到y轴的距离为3,则点P的坐标为( )
A. (3,1) B. (3,1) C. (1, 3) D. (1,3)
下列图形中,既是轴对称图形又是中心对称图形的为( )
A. B. C. D.
将一些半径相同的小圆按如图所示的规律摆放,第1个图形有4个小圆,第2个图形有8个小圆,第3个图形有14个小圆,…,依次规律,第7个图形的小圆个数是( )
A. 56 B. 58 C. 63 D. 72
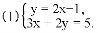
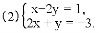
解下列方程组:
若一个二元一次方程组的解是请写出一个符合此要求的二元一次方程组_____________.
下列图形中,不能通过其中一个四边形平移得到的是 ( )
如图,一次函数y=k1x+b与反比例函数y=的图象交于A(2,m),B(n,﹣2)两点.过点B作BC⊥x轴,垂足为C,且S△ABC=5.
(1)求一次函数与反比例函数的解析式;
(2)根据所给条件,请直接写出不等式k1x+b>的解集;
(3)若P(p,y1),Q(﹣2,y2)是函数y=图象上的两点,且y1≥y2,求实数p的取值范围.
下列说法不正确的是( )
A. 频数与总数的比值叫做频率
B. 频率与频数成正比
C. 在频数分布直方图中,小长方形的面积是该组的频率
D. 用样本估计总体,样本越大对总体的估计就越精确
将正整数按如图所示的规律排列下去,若用有序数对(m,n)表示从上到下第m排,从左到右第n个数,如(4,2)表示整数8.则(62,55)表示的数是_____.