题目内容
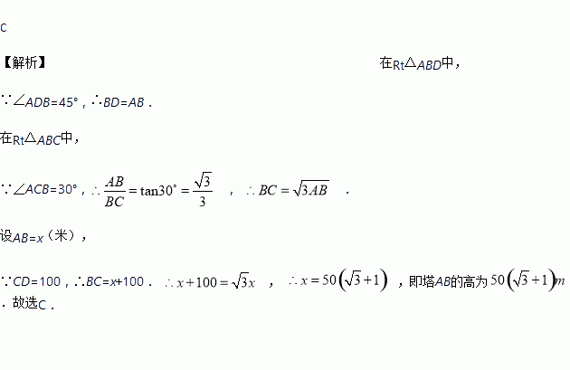
如图,在塔AB前的平地上选择一点C,测出看塔顶的仰角为30°,从C点向塔底走100米到达D点,测出看塔顶的仰角为45°,则塔AB的高为( )
![]()
A. 50
米 B. 100
米 C. 50(
+1)米 D. 50(
﹣1)米
练习册系列答案
相关题目
题目内容
如图,在塔AB前的平地上选择一点C,测出看塔顶的仰角为30°,从C点向塔底走100米到达D点,测出看塔顶的仰角为45°,则塔AB的高为( )
![]()
A. 50
米 B. 100
米 C. 50(
+1)米 D. 50(
﹣1)米