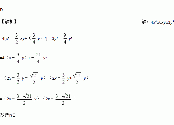
题目内容
对二次三项式4x2﹣6xy﹣3y2分解因式正确的是( )
A. B.
C. D.
六棱柱中,棱的条数有( )
A. 6条 B. 10条 C. 12条 D. 18条
用不等式表示“x与1的和为正数”: 。
如图,AB=AC,PB=PC,求证:直线AP是线段BC的垂直平分线.
如图,Rt△ABC中,∠ACB=90°,∠A=50°,将其折叠,使点A落在边CB上A′处,折痕为CD,则∠A′DB的度数为_____.
在△ABC中,若∠A﹣∠B=∠C,则此三角形是( )
A. 钝角三角形 B. 直角三角形 C. 锐角三角形 D. 无法确定
如图,把长方形纸片沿折叠后,使得点与点重合,点落在点的位置上.
(1)折叠后, 的对应线段是 , 的对应线段是 .
(2)若,求的长度.
如图,在中, 于点, 于点, 为边的中点,连接、,则下列结论:①;②为等边三角形.下面判断正确是( )
A. ①正确 B. ②正确
C. ①②都正确 D. ①②都不正确
画线段AB=1cm,延长线段AB到C,使BC=2 cm,已知D是BC的中点,则线段AD=_____cm.