题目内容
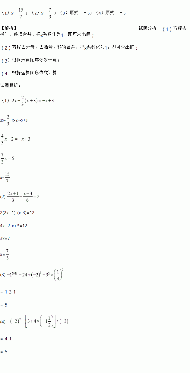
解方程与计算:
(1) (2)
(3) (4)
下列各图中,能表示y是x的函数的是( )
A. B. C. D.
如图,四边形ABCD是一个四边形的草坪,通过测量,获得如下数据:AB=4m,BC=7m,AD=3m,CD=2m,请你测算这块草坪的面积.(取近似值2.46,结果精确到0.1).
点P在直角坐标系中的坐标是(3,-4),则点P到坐标原点的距离是( )
A. 3 B. 4
C. 5 D. 4或3
某市电话拨号上网有两种收费方式,用户可以任选其一:
(A)计时制:0.05元每分钟;
(B)包月制:60元每月(限一部个人住宅电话上网);
此外,每一种上网方式都得加收通信费0.02元每分钟.
(1)某用户某月上网的时间为x小时,请分别写出两种收费方式下该用户应该支付的费用;
(2)你知道怎样选择计费方式更省钱吗?
若规定“*”的运算法则为:a*b=ab-1,则2*3= _______.
骰子是一种特别的数字立方体(见图),它符合规则:相对两面的点数之和总是7,下面四幅图中可以折成符合规则的骰子的是( )
如图,若将左图正方形剪成四块,恰能拼成右图的矩形,设a=1,则b=( )
一个多边形内角和是1080°, 则这个多边形的边数为( )
A. 6 B. 7 C. 8 D. 9