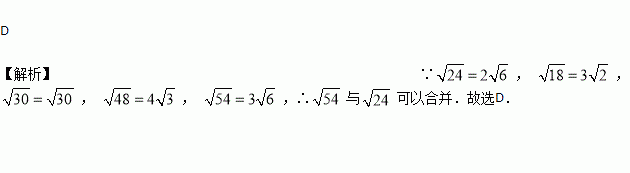
题目内容
下列二次根式中,与是同类二次根式的是( )。
A. B. C. D.
小兰画了一个函数y=x2+ax+b的图象如图,则关于x的方程x2+ax+b=0的解是( )
A. 无解 B. x=1 C. x=-4 D. x=-1或x=4
如图,△ABC≌△ADE,∠B=70°,∠C=26°,∠DAC=30°,则∠EAC=( )
A. 27° B. 54° C. 30° D. 55°
把方程x(x-2)=4-5x改为方程的一般形式为_____________________________
关于x的方程ax2+bx+c=0,若满足a-b+c=0,。则方程( ).
A. 必有一根为1 B. 必有两相等实根
C. 必有一根为-1 D. 没有实数根。
已知二次函数y=x2-4x+3.
(1)用配方法求其图象的顶点C的坐标,并描述该函数的函数值随自变量的增减而变化的情况;
(2)求函数图象与x轴的交点A,B的坐标,及△ABC的面积.
已知抛物线y=-x2-2x+3与x轴交于A,B两点,将这条抛物线的顶点记为C,连接AC,BC,则tan∠CAB的值为( )
A. B. C. D. 2
小明不慎把家里的一块圆形玻璃打碎了,其中四块碎片如图所示,为配到一块与原来 大小一样的圆形玻璃,小明带到商店去的一块玻璃碎片应该是( )
A.第①块 B.第②块 C.第③块 D.第④块
观察下列单项式的规律: 第2017个单项式为_______________;第n个单项式为_________________.