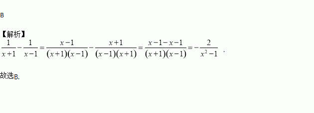
题目内容
化简,可得( )
A. B. C. D.
下列计算正确的是( ).
A. x3·x2=x6 B. x3-x2=x C. (-x)2·(-x)=-x3 D. x6÷x2=x3
如图,想在河堤两岸搭建一座桥,图中搭建方式中,最短的是PB,理由是__________.
为增强学生的身体素质,教育行政部门规定每位学生每天参加户外活动的平均时间不少于1小时. 为了解学生参加户外活动的情况,对部分学生参加户外活动的时间进行抽样调查,并将调查结果绘制作成如下两幅不完整的统计图,
请你根据图中提供的信息解答下列问题:
(1)在这次调查中共调查了多少名学生?
(2)求户外活动时间为1.5小时的人数,并补充频数分布直方图;
(3)户外活动时间的众数和中位数分别是多少?
(4)若该市共有20000名学生,大约有多少学生户外活动的平均时间符合要求?
分解因式:3x2﹣x=______________.
如图,已知Rt△ABC中,∠C=90°,AC=6,BC=8,则tanA的值为( )
A. 0.6 B. 0.8 C. 0.75 D.
已知x=-,能否确定代数式(2x-y)(2x+y)+(2x-y)(y-4x)+2y(y-3x)的值?如果能确定,试求出这个值。
下列命题是假命题的是( )
A. 两个角的和等于平角时,这两个角互为补角
B. 平行于同一直线的两直线平行
C. 垂直于同一直线的两直线平行
D. 如果那么a=b
如图,点A的坐标为(0,1),点B是x轴正半轴上的一动点,以AB为边作等腰直角△ABC,使∠BAC=90°,设点B的横坐标为x,点C的纵坐标为y,能表示y与x的函数关系的图象大致是( )