题目内容
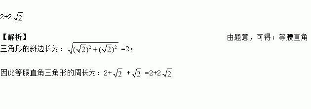
已知等腰直角三角形的直角边的边长为,那么这个等腰直角三角形的周长
是________.(结果用最简二次根式)
如图,三棱柱的体积为 ,其侧棱 上有一个点 从点 开始运动到点 停止,过 点作与底面平行的平面将这个三棱柱截成两个部分,它们的体积分别为 ,,则下列能表示 与 之间函数关系的大致图象是
A. B. C. D.
如图,已知∠1+∠2=180°,∠3=∠B,试判断∠AED与∠C的大小关系,并对结论进行证明.
如图所示,∠1=∠2,∠3=80°,则∠4等于 ( )
A. 80° B. 70° C. 60° D. 50°
(1)化简+2-3x
(2)先化简,
计算的结果是_________.
下列式子中正确的是( )
A. B.
C. D.
现在网购越来越多地成为人们的一种消费方式,刚刚过去的2015年的“双11”网上促销活动中,天猫和淘宝的支付交易额突破67000000000元,将67000000000元用科学记数法表示为_____.
如图,边长为m+4的正方形纸片剪出一个边长为m的正方形之后,剩余部分可剪拼成一个矩形,若拼成的矩形一边长为4,则另一边长为______.