题目内容
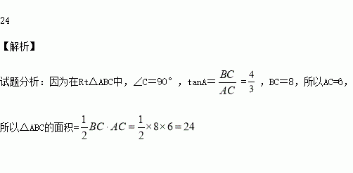
在Rt△ABC中,∠C=90°,tanA=,BC=8,则△ABC的面积为
计算
(1) (2)
比较大小:
(1)-(-4)和|-5|; (2)-和-.
如图在Rt△ABC中,∠ACB=90°,D是边AB的中点,BE⊥CD,垂足为点E.已知AC=15,cos A=.
(1)求线段CD的长;
(2)求sin ∠DBE的值.
已知∠A为锐角,
证明:(1)sin A=cos (90°-∠A);
(2)sin2 A+cos2 A=1;
(3)tan A=.
已知方程的两根为直角三角形的两直角边,则其最小角的余弦值为 。
如图,过∠AOB的平分线上一点C作CD∥OB交OA于点D,E是线段OC的中点,过点E作直线分别交射线CD,OB于点M,N,探究线段OD,ON,DM之间的数量关系,并证明你的结论.
如图,AD⊥BC于点D,EG⊥BC于点G,∠E=∠3,试说明:AD平分∠BAC.
中国的领水面积约为370 000 km2,将数370 000用科学记数法表示为_________