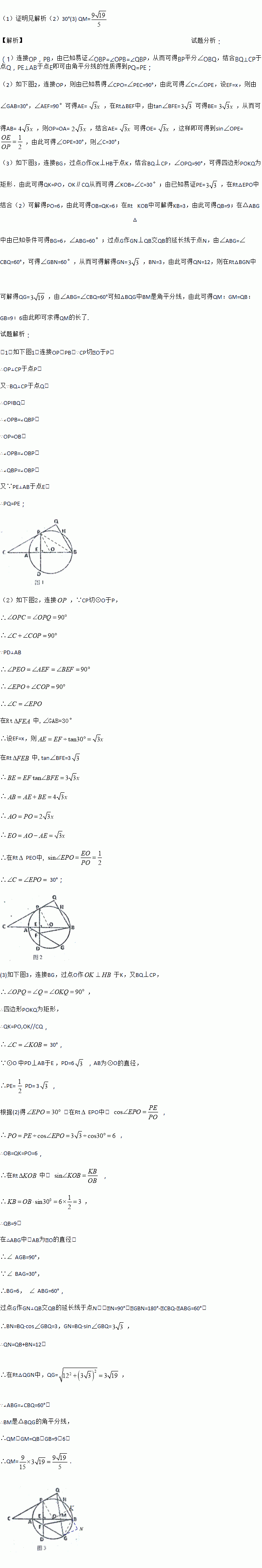
题目内容
已知:如图,AB为⊙O的直径,C是BA延长线上一点,CP切⊙O于P,弦PD⊥AB于E,过点B作BQ⊥CP于Q,交⊙O于H.
(1)如图1,求证:PQ=PE;
(2)如图2,G是圆上一点,∠GAB=30
,连接AG交PD于F,连接BF,tan∠BFE=
,求∠C的度数;
(3)如图3,在(2)的条件下,PD=6
,连接QG交BC于点M,求QM的长.
![]()
练习册系列答案
相关题目
题目内容
已知:如图,AB为⊙O的直径,C是BA延长线上一点,CP切⊙O于P,弦PD⊥AB于E,过点B作BQ⊥CP于Q,交⊙O于H.
(1)如图1,求证:PQ=PE;
(2)如图2,G是圆上一点,∠GAB=30
,连接AG交PD于F,连接BF,tan∠BFE=
,求∠C的度数;
(3)如图3,在(2)的条件下,PD=6
,连接QG交BC于点M,求QM的长.
![]()