题目内容
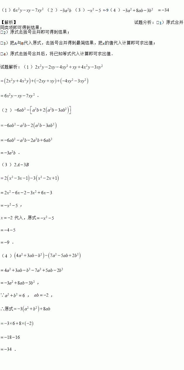
化简
().
()若, ,求:当时, 的值.
()已知, ,求代数式的值.
计算: .
下列哪个方程是一元二次方程( )
A. 2x+y=1 B. x2+1=2xy C. x2+=3 D. x2=2x-3
若二次函数y=x2+mx的对称轴是x=3,则关于x的方程x2+mx=7的解为( )
A. x1=0,x2=6 B. x1=1,x2=7 C. x1=1,x2=﹣7 D. x1=﹣1,x2=7
阅读下面材料:
小丁在研究数学问题时遇到一个定义:对于按固定顺序的个数: , , , , ,称为数列, , , , ,其中为整数且.
定义 .
例如,若数列, , , , ,则.
根据以上材料,回答下列问题:
()已知数列, , ,求.
()已知数列, , , , 中个数均为非负数,且,直接写出的最大值和最小值.
()已知数列, , , ,其中, , , ,为个整数,且, , ,直接写出所有可能的数列中至少两种.
在数轴上表示的点的距离等于个单位长度的点所表示的数是__________.
如图,点和表示的数分别为和,下列式子中,不正确的是( ).
A. B. C. D.
如图所示,是二次函数y=ax2﹣bx+2的大致图象,则函数y=﹣ax+b的图象不经过( )
A. 第一象限 B. 第二象限 C. 第三象限 D. 第四象限
甲、乙二人从学校出发去科技馆,甲步行一段时间后,乙骑自行车沿相同路线行进,两人均匀速前行,他们的路程差s(米)与甲出发时间t(分)之间的函数关系如图所示.下列说法:①乙先到达科技馆;②乙的速度是甲速度的2.5倍;③b=460;④a=25.其中正确的是______(填序号).