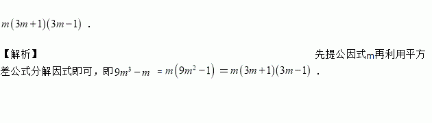
题目内容
分解因式: _______________.
如图,在菱形ABCD中,∠DAB=60°,AB=2,则菱形ABCD的面积为 .
如图,E、A、C三点共线,BC=ED,AB=CE,AC=CD.求证:∠B=∠E
下列图案是我国几家银行的标志,其中不是轴对称图形的是( )
A. B. C. D.
已知x2+y2=25,xy=12,,则x+y的值为___________
若分式中的x和y都扩大到原来的3倍,那么分式的值( )
A. 扩大到原来的3倍 B. 不变
C. 缩小到原来的 D. 缩小到原来的
下列图形中,是轴对称图形的有( )
A. 1个 B. 2个 C. 3个 D. 4个
不改变分式的值,把分子分母的系数化为整数: ____________.
如图,AD∥BE∥CF,直线与这三条平行线分别交于点A,B,C和D,E,F.已知AB=1,BC=3,DE=2,则EF的长是( )
A. 4 B. 5 C. 6 D. 8