题目内容
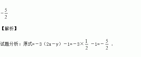
已知代数式2x-y的值是,则代数式-6x + 3y-1的值是 .
将抛物线y=5x2先向右平移2个单位,再向下平移个单位,可以得到新的抛物线是
A. y=5(x+2)2+3 B. y=5(x-2)2+3 C. y=5(x+2)2-3 D. y=5(x-2)2-3
若单项式与是同类项,则___.
作图题:
(1)如图,在平面内有不共线的3个点A,B,C.
(a)作直线AB,射线AC,线段BC;
(b)延长BC到点D,使CD=BC,连接AD;
(c)作线段AB的中点E,连接CE;
(d)测量线段CE和AD的长度,直接写出二者之间的数量关系_______.
(2) 有5个大小一样的正方形制成如图所示的拼接图形(阴影部分),请你在图中的拼接图形上再接一个正方形,使新拼接成的图形经过折叠后能成为一个封闭的正方体盒子.
注意:只需添加一个符合要求的正方形,并用阴影表示.
如图,点A、O、B在一条直线上,∠AOC=140°,OD是∠BOC的平分线,则∠COD= 度.
如图,一副三角尺按不同的位置摆放,摆放位置中∠α=∠β的图形有( )
A. 1个 B. 2个 C. 3个 D. 4个
如图,已知在△ABC中,AB=AC=5,cosB=,P是边AB上一点,以P为圆心,PB为半径的⊙P与边BC的另一个交点为D,联结PD、AD.
(1)求△ABC的面积;
(2)设PB=x,△APD的面积为y,求y关于x的函数关系式,并写出定义域;
(3)如果△APD是直角三角形,求PB的长.
计算: _________.
把一块直尺与一块三角板如图放置,若∠1=35°,则∠2的度数为 .