题目内容
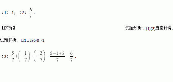
计算:(1)2+5-8;(2)
如图,AB是⊙O的直径,点D在AB的延长线上,DC切⊙O于点C,若∠A=25°,则∠D等于 ( )
A. 20° B. 30° C. 40° D. 50°
已知代数式,当时,该代数式的值为-1.
(1)求的值。
(2)已知当时,该代数式的值为-1,求的值。
(3)已知当时,该代数式的值为9,试求当时该代数式的值。
(4)在第(3)小题已知条件下,若有成立,试比较与的大小。
下列四组变形中,变形正确的是( )
A. 由5x+7=0得5x=﹣7 B. 由2x﹣3=0得2x﹣3+3=0
C. 由=2得x= D. 由5x=7得x=35
如图,用同样规格的黑白两色正方形瓷砖铺设矩形地面,请观察下列图形,探究并观察下列问题.
(1)第4个图中,共有白色瓷砖 块;第n个图中,共有白色瓷砖 块;
(2)第4个图中,共有瓷砖 块;第n个图中,共有瓷砖 块;
(3)如果每块黑瓷砖4元,白瓷砖3元,铺设当n=10时,共需花多少钱购买瓷砖?
填空:(1)5+(_________)=0; (2)(_________)×(-6)= -54.
下列计算正确的是( )
A. (-4)-(-1)= -3 B.
C. D.
已知,则代数式的值为__________.
课堂上,数学老师提出了如下问题:
如图1,若线段AD为△ABC的角平分线,请问一定成立吗?
小明和小芳分别作了如下探究:
小明发现:如图2,当△ABC为直角三角形时,且∠C=90°,∠CAB=60°时,结论成立;
小芳发现:如图3,当△ABC为任意三角形时,过点C作AB的平行线,交AD的延长线于点E,利用此图可以证明成立.