题目内容
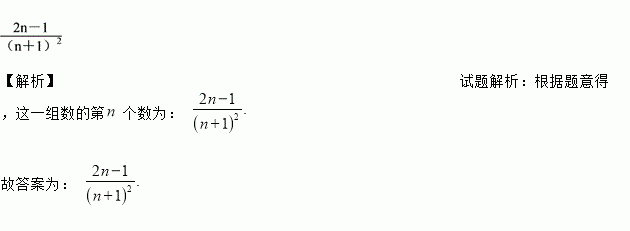
观察下列一组数: , , , , ,…,它们是按一定规律排列的,那么这一组数的第n个数是________.
解下列方程
(1) =+1; (2) -=3.
如图,在一笔直的海岸线l上有A、B两个观测站,B在A的正东方向,AB=2km,有一艘小船在点C处,从A测得小船在北偏东30°的方向,从B测得小船在北偏西45°的方向.求点C到海岸线l的距离(结果精确到0.01 km).
方程x(x-1)=0的解是( )
A. x=1 B. x=0 C. x1=0,x2=1 D. x1=0,x2=-1
某校想了解学生每周的课外阅读时间情况,随机调查了部分学生,对学生每周的课外阅读时间x(单位:小时)进行分组整理,并绘制了如图所示的不完整的频数直方图和扇形统计图:
根据图中提供的信息,解答下列问题:
(1)补全频数直方图;
(2)求扇形统计图中m的值和E组对应的圆心角度数.
某种商品每件的标价是330元,按标价的八折销售时,仍可获利10%,则这种商品每件的进价为( )
A. 240元 B. 250元 C. 280元 D. 300元
下面合并同类项正确的是( )
A. 3x+2x2=5x3 B. 2a2b-a2b=1 C. -ab-ab=0 D. -xy2+xy2=0
如图,AB是⊙O的直径,弦CD⊥AB于点E,若AB=10,CD=6,则BE=__________.
如图,在△ABC中,AD平分∠BAC,∠C=2∠B,试判断AB,AC,CD三者之间的数量关系,并说明理由.(想一想,你会几种方法)