题目内容
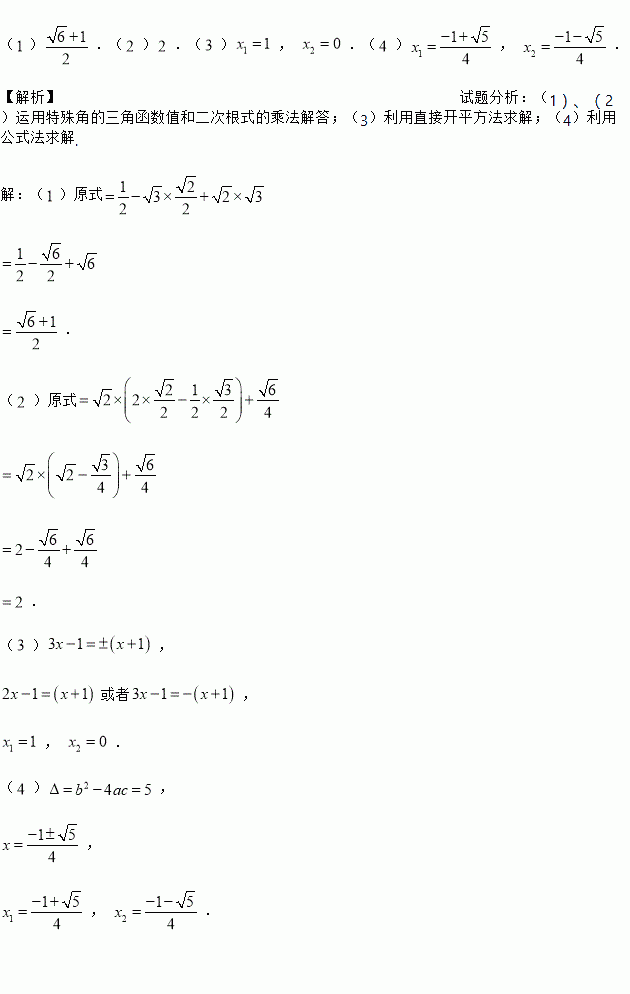
计算()(),并解()()两个方程(每题分,共分)
().
当x=________时,3(x-2)与2(2+x)互为相反数.
列方程或方程组解应用题:
某商店需要购进甲、乙两种商品共160件,其进价和售价如下表:
若商店计划销售完这批商品后能使利润达到1100元,问甲、乙两种商品应分别购进多少件?
小明从家里骑车到学校,每小时骑15km,可早到10分钟,每小时骑12 km,就会迟到5分钟.问他家到学校的路程是多少千米?设他家到学校的路程为x千米,则根据题意列出方程正确的是
A. B.
C. D.
的相反数是
A. B. C. 5 D. ?5
如图是一个长方体的三视图,若其俯视图为正方形,则这个长方体的体积为__________.
如图,在平面直角坐标系中,点A是x轴正半轴上的一个定点,点P是双曲线y=(x>0)上的一个动点,PB⊥y轴于点B,当点P的横坐标逐渐增大时,四边形OAPB的面积将会( )
A. 逐渐增大 B. 不变 C. 逐渐减小 D. 先增大后减小
如图,反比例函数在第二象限的图象上有两点, ,它们的横坐标分别为, ,直线与轴交于点,则的面积为__________.
如图,图中的两个三角形是全等三角形,其中一些角和边的大小如图所示,那么的值是( ).
A. B. C. D.