题目内容
已知关于x的方程
有两个不相等的实数根
,
;
(1)求
的取值范围;
(2)试说明
<0,
<0;
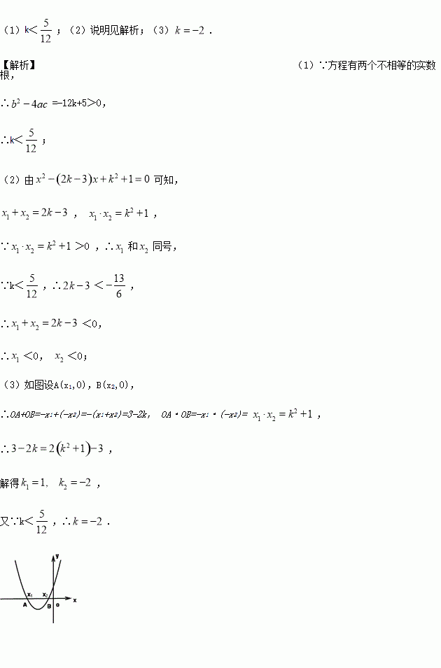
(3)若抛物线
与
轴交于A、B两点,点A、点B到原点的距离分别为OA、OB,且OA+OB=2OA·OB-3,求
的值.
练习册系列答案
相关题目
题目内容
已知关于x的方程
有两个不相等的实数根
,
;
(1)求
的取值范围;
(2)试说明
<0,
<0;
(3)若抛物线
与
轴交于A、B两点,点A、点B到原点的距离分别为OA、OB,且OA+OB=2OA·OB-3,求
的值.