题目内容
计算:
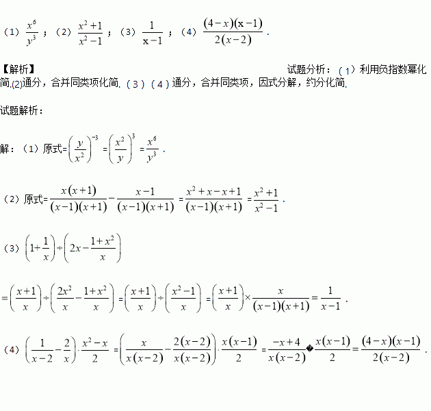
(1);(2);(3);(4)
(2016山东省聊城市)如图,四边形ABCD内接于⊙O,F是上一点,且,连接CF并延长交AD的延长线于点E,连接AC.若∠ABC=105°,∠BAC=25°,则∠E的度数为( )
A. 45° B. 50° C. 55° D. 60°
已知关于x的方程有两个不相等的实数根, ;
(1)求的取值范围;
(2)试说明<0, <0;
(3)若抛物线与轴交于A、B两点,点A、点B到原点的距离分别为OA、OB,且OA+OB=2OA·OB-3,求的值.
已知△ABC和△DEF关于点O对称,相应的对称点如图所示,则下列结论正确的是( )
A. AO=BO B. BO=EO
C. 点A关于点O的对称点是点D D. 点D 在BO的延长线上
一艘轮船在两个码头之间航行,顺水航行60km所需时间与逆水航行48km所需时间相同,已知水流速度是2km/h,求轮船在静水中的航行速度?
如图,在△ABC中,AB=AD=DC,∠BAD=20°,则∠C=_______.
已知△ABC的六个元素,下面甲、乙、丙三个三角形中标出了某些元素,则与△ABC全等的三角形是( )
A. 只有乙 B. 只有丙 C. 甲和乙 D. 乙和丙
如图,在平面直角坐标系中,点A在抛物线y=x2﹣2x+3上运动,过点A作AB⊥x轴于点B,以AB为斜边作Rt△ABC,则AB边上的中线CD的最小值为______.
下列图形中,既是轴对称图形又是中心对称图形的是( )
A. B. C. D.