题目内容
以线段AC为对角线的四边形ABCD(它的四个顶点A,B,C,D按顺时针方向排列),已知AB=BC=CD,∠ABC=100°,∠CAD=40°,则∠BCD的度数为________.
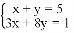
下列结论正确的是( ).
A. 方程所有的解都是方程组的解
B. 方程所有的解都不是方程组的解
C. 方程组的解不是方程的一个解
D. 方程组的解是方程的一个解
如图,
(1)画出△ABC关于y轴的对称图形△A1B1C1;
(2)直接写出△ABC关于x轴对称的三角形△A2B2C2的各点坐标.
下列图标是轴对称图形的是( )
A. B. C. D.
小亮参加中华诗词大赛,还剩最后两题,如果都答对,就可顺利通关.其中第一道单选题有4个选项,第二道单选题有3个选项.小亮这两道题都不会,不过还有一个“求助”没有使用(使用求助可以让主持人去掉其中一题的一个错误选项).
(1)如果小亮第一题使用“求助”,那么他答对第一道题的概率是__;
(2)他的亲友团建议:最后一题使用“求助”,从提高通关的可能性的角度看,你同意亲友团的观点吗?试说明理由.
分解因式:x2y-y= .
如图①,△ABC的角平分线BD、CE相交于点P.
(1)如果∠A=80°,求∠BPC的度数;
(2)如图②,作△ABC外角∠MBC,∠NCB的角平分线交于点Q,试探索∠Q、∠A之间的数量关系.
(3)如图③,延长线段BP、QC交于点E,△BQE中,存在一个内角等于另一个内角的2倍,求∠A的度数.
等腰三角形两边的长分别为5和6,则其周长为__.
多项式x2y(a-b)-xy(b-a)+y(a-b)提公因式后,另一个因式为( )
A. x2-x+1 B. x2+x+1
C. x2-x-1 D. x2+x-1