题目内容
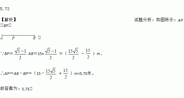
一个主持人站在舞台的黄金分割点处最自然得体.如果舞台AB长为15米,一个主持人现在站在A处,则它应至少再走 米才最理想.(结果精确到0.01米)
﹣3的倒数是_____.
星期天,小明与小刚骑自行车去距家50千米的某地旅游,匀速行驶1.5小时的时候,其中一辆自行车出故障,因此二人在自行车修理点修车,用了半个小时,然后以原速继续前行,行驶1小时到达目的地.请在右面的平面直角坐标系中,画出符合他们行驶的路程S(千米)与行驶时间t(时)之间的函数图象.
我国中东部地区雾霾天气趋于严重,环境治理已刻不容缓.我市某电器商场根据民众健康需要,代理销售某种家用空气净化器,其进价是200元/台.经过市场销售后发现:在一个月内,当售价是400元/台时,可售出200台,且售价每降低10元,就可多售出50台.若供货商规定这种空气净化器售价不能低于300元/台,代理销售商每月要完成不低于450台的销售任务.
(1)试确定月销售量y(台)与售价x(元/台)之间的函数关系式;并求出自变量x的取值范围;
(2)当售价x(元/台)定为多少时,商场每月销售这种空气净化器所获得的利润w(元)最大?最大利润是多少?
解方程:
(1)x(x+4)=﹣3(x+4)
(2)(x+3)2=2x+5.
如果在比例尺为1:1 000 000的地图上,A、B两地的图上距离是4.5厘米,那么A、B两地的实际距离是 千米.
二次函数y=ax2+bx+c的图象如图所示,且P=|2a+b|+|3b-2c|,Q=|2a-b|-|3b+2c|,试判断P,Q的大小关系.
若反比例函数y=﹣的图象经过点A(m,3),则m的值是_____.
如图,抛物线y1=-x2+2x+3与直线y2=4x交于A,B两点.
(1)求A,B两点的坐标;
(2)当x取何值时,y1>y2?