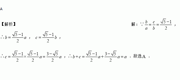
题目内容
如果, , 满足,则, , 之间的关系是( )
A. B. C. D.
如图,∠ABF=∠DCE,BE=CF,请补充一个条件:______,能使用“AAS”的方法得△ABF≌△DCE.
已知一元二次方程x2-2x-1=0的两根分别为x1,x2,则的值为( )
A. 2 B. -1
C. - D. -2
如图,已知圆上两点, .
()用直尺和圆规求圆心(保留作图痕迹,不写画法).
()若,此圆的半径为,求弦与劣弧所组成的弓形面积.
将函数化为的形式,得__________,它的图象顶点坐标是__________.
对于二次函数的图象,下列说法正确的是( )
A. 开口向下 B. 对称轴是
C. 顶点坐标是 D. 当时, 随增大而增大
已知:△ABC在坐标平面内,三个顶点的坐标为A(0,3)、B(3,4)、C(2,2),(正方形网格中,每个小正方形边长为1个单位长度)
(1)画出△ABC向下平移4个单位得到的△A1B1C1;
(2)以B为位似中心,在网格中画出△A2BC2,使△A2BC2与△ABC位似,且位似比2∶1,直接写出C2点坐标是 ;
(3)△A2BC2的面积是 平方单位.
一个不透明的盒子中装有6个大小相同的乒乓球,其中4个是黄球,2个是白球.从该盒子中任意摸出一个球,摸到黄球的概率是( )
要使图中平面展开图按虚线折叠成正方体后,相对面上两个数之和为6,x等于?y等于?