在如图边长为7.6的正方形的角上挖掉一个边长为2.6的小正方形,剩余的图形能否拼成一个矩形?若能,画出这个矩形,并求出这个矩形的面积是多少.

能,这个矩形的面积=(7.6+2.6)(7.6-2.6)=51 【解析】此题主要考查了乘法的平方差公式.即两个数的和与这两个数的差的积等于这两个数的平方差,这个公式就叫做平方差公式

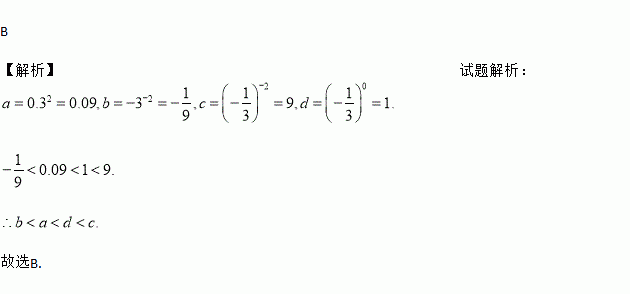
若x、y表示有理数,则下列各数中一定是正数的是( )

A. B. C. D.

B 【解析】试题分析:A、|x+3|≥0,故此选项错误; B、x2≥0,x2+≥>0,故此选项正确; C、(y+6)2≥0,故此选项错误; D、|x2+y2|≥0,故此选项错误. 故选B.

计算或化简.

(1) ;(2) ;(3) ;(4)1;(5)4;(6) ;(7) 【解析】试题分析:按照整式的运算顺序进行运算即可. 试题解析:( )原式, . ()原式, . ()原式, . ()原式, . ()原式, . ()原式. ()原式, .

某种电子元件的面积大约为0.00000069平方毫米,将0.00000069这个数用科学记数法表示为______.

6.9×10﹣7. 【解析】试题分析:对值小于1的正数也可以利用科学记数法表示,一般形式为a×10﹣n,与较大数的科学记数法不同的是其所使用的是负指数幂,指数由原数左边起第一个不为零的数字前面的0的个数所决定.所以0.00000069=6.9×10﹣7.

用10个球设计一个摸球游戏:

(1)使摸到红球的概率为

(2)使摸到红球和白球的概率都是.

(1)2个红球,8个白球;(2)4个红球,4个白球,2个其他颜色球. 【解析】分析:本题考察对概率意义的理解,关键是根据要求,算出符合条件的各色小球的个数. 本题解析: (1)在一个不透明的口袋内装大小材质相同的小球,其中2个红球,8个为白球,则摸到红球的概率符合要求. (2)在一个不透明的口袋内装大小材质相同的小球,其中4个红球,4个白球,2个黑球,则摸到红球和白球的的概...

必然事件发生的概率是________,即P(必然事件)= _______;不可能事件发生的概率是_______,即P(不可能事件)=_______;若A是不确定事件,则______<P(A)<______.

1 1 0 0 0 1 【解析】根据必然事件、不可能事件、不确定事件的意义,可得必然事件发生的概率是1,即P(必然事件)= 1;不可能事件发生的概率是0,即P(不可能事件)=0;若是不确定事件,则01.故答案为:(1). 必然事件发生的概率是1 (2). P(必然事件)= 1 (3). 不可能事件发生的概率是0 (4). P(不可能事件)=0 (5). 0 (6). 1

如图,将一副三角板叠放在一起,使直角的顶点重合于O,则∠AOC+∠DOB=(  )

A. 90° B. 120° C. 160° D. 180°

D 【解析】设∠AOD=a,∠AOC=90°+a,∠BOD=90°?a, 所以∠AOC+∠BOD=90°+a+90°?a=180°. 故选D.

违法和不良信息举报电话:027-86699610 举报邮箱:58377363@163.com

精英家教网