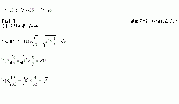
题目内容

阅读材料:将等式反过来,可得到根据这个思路,我们可以把根号外的因式“移入”根号内,用于根式的化简例如: .请你仿照上面的方法,化简下列各式:

              

                

练习册系列答案
相关题目

违法和不良信息举报电话:027-86699610 举报邮箱:58377363@163.com

精英家教网