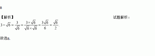
题目内容
计算:3÷的结果是 ( )
A. B. C. D.
设“▲”、“●”、“■”分别表示三种不同的物体,现用天平秤两次,情况如图所示,那么▲、●、■这三种物体按质量从大到小排列应为( )
A.■、●、▲
B.▲、■、●
C.■、▲、●
D.●、▲、■
如图,将一张正方形的纸片对折两次,然后在上面打3个洞,则纸片展开后是【 】
A. A B. B C. C D. D
已知a、b、c为正数,d为负数,化简=______.
下列各数中,与的积为有理数的是( )
阅读材料:将等式反过来,可得到根据这个思路,我们可以把根号外的因式“移入”根号内,用于根式的化简例如: .请你仿照上面的方法,化简下列各式:
.
下列根式中能与合并的是
计算×的结果是( )
A. B. 4
C. D. 2
在如图的甲、乙两个转盘中,指针指向每一个数字的机会是均等的.当同时转动两个转盘,停止后指针所指的两个数字表示两条线段的长,如果第三条线段的长为5,那么这三条线段不能构成三角形的概率是【 】