题目内容
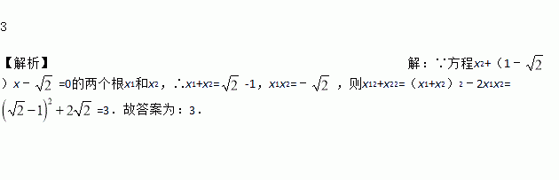
已知方程的两个根x1和x2,则=___________
如图, 绕点逆时针旋转到的位置,已知,则等于( )
A. B. C. D.
计算
(1)﹣36×(﹣)+(﹣3)2
(2)﹣12+(﹣2)3+|﹣3|÷.
在墙壁上固定一根横放的木条,则至少需要钉子的枚数是( )
A. 1枚 B. 2枚 C. 3枚 D. 任意枚
等腰三角形一底角为30°,底边上的高为9cm,则这个等腰三角形的腰长为_____cm.
若,则代数式的值是( )
A. 0 B. 1 C. -1 D.
因式分【解析】 =_______.
如图1,在△ABC中,∠BAC=90°,点D在AC上,点E在BA的延长线上,连接BD,CE,AD=AE,BD=CE.
(1)若BD=,AD=1,求BC的长度;
(2)将图1中的BD延长,过点A作AF∥BC交BD延长线于点F,如图2,连接FC,若BC=BF,求证:CD=CF.