题目内容
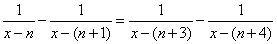
阅读材料:方程
的解为x=1,方程
的解为x=2,方程
的解为x=3,…
(1)请你观察上述方程与解的特征,写出一个解为5的分式方程。
(2)写出能反映上述方程一般规律的方程,并直接写出这个方程的解。
(1)请你观察上述方程与解的特征,写出一个解为5的分式方程。
(2)写出能反映上述方程一般规律的方程,并直接写出这个方程的解。
解:(1)
(2)
解为x=n+2
(2)
解为x=n+2
练习册系列答案
相关题目
题目内容