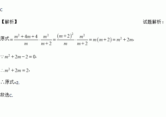
题目内容
如果m2+2m-2=0,那么代数式的值是( )
A. -2 B. -1 C. 2 D. 3
C919大飞机是中国完全具有自主知识产权的干线民用飞机,其零部件总数超过100万个,将100万用科学记数法表示为( )
A. 1×106 B. 100×104 C. 1×107 D. 0.1×108
如图,把弯曲的河道改直,能够缩短航程,这样做根据的道理是_____.
解分式方程: .
关于x的分式方程的解为正数,则m的取值范围是______________.
如图,∠1=45°,∠3=105°,则∠2的度数为( )
A. 60° B. 55° C. 35° D. 30°
2013年9月23日强台风“天兔”登录深圳,伴随着就是狂风暴雨。梧桐山山坡上有一棵与水平面垂直的大树,台风过后,大树被刮倾斜后折断倒在山坡上,树的顶部恰好接触到坡面(如图所示)。已知山坡的坡角∠AEF=23°,量得树干的倾斜角为∠BAC=38°,大树被折断部分和坡面所成的角∠ADC=60°, AD=3m。
(1)求∠DAC的度数;
(2)求这棵大树折断前的高度。(结果保留根号)
二次函数y=x 2 +5x+4,下列说法正确的是( )
A. 抛物线的开口向下 B. 当x>3时,y随x的增大而增大
C. 二次函数的最小值是2 D. 抛物线的对称轴是x=
因式分【解析】 =________________.