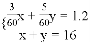
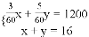
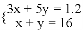
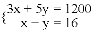
题目内容

如图,在平面直角坐标系xOy中,△ABC顶点的横、纵坐标都是整数.若将△ABC以某点为旋转中心,顺时针旋转90°得到△DEF,则旋转中心的坐标是(  )

A. (0,0) B. (1,0) C. (1,﹣1) D. (2.5,0.5)

C 【解析】试题解析:∵将△ABC以某点为旋转中心,顺时针旋转90°得到△DEF, ∴点A的对应点为点D,点B的对应点为点E, 作线段AD和BE的垂直平分线,它们的交点为P(1,﹣1), ∴旋转中心的坐标为(1,﹣1). 故选C.
练习册系列答案
相关题目

违法和不良信息举报电话:027-86699610 举报邮箱:58377363@163.com

精英家教网