题目内容
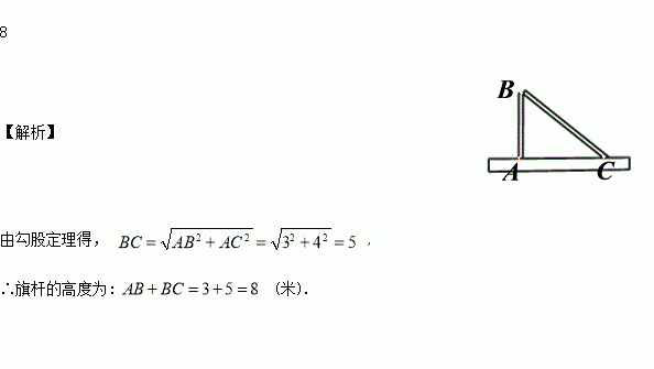
如图,一旗杆被大风刮断,旗杆的顶部着地点到旗杆底部的距离为4m,折断点离旗杆底部的高度为3m,则旗杆的高度为______m.
25的算术平方根是 _______ .
如图,AB与CD相交于O点,OE⊥CD,∠BOD=25°,则∠AOE与∠AOC等于多少度?
的算术平方根是( )
A. ±4 B. 4 C. ±2 D. 2
如图,在△ABC中,AB=13,BC=10,BC边上的中线AD=12.
(1)求证:AD⊥BC;
(2)求AC的长.
某商店销售一种商品,售出部分商品后进行了降价促销,销售金额y(元)与销售量(x)的函数关系如图2所示,则降价后每件商品的销售价格为( )
图1 图2
A. 5元 B. 10元 C. 12.5元 D. 15元
在□ABCD中,AB=3,AD=5,则□ABCD的周长为( )
A. 8 B. 10 C. 12 D. 16
不等式的解集是___________;
若不等式组有解,则a的取值范围是__________________.