题目内容
如图,在平行四边形ABCD中,AD=4cm,∠A=60°,BD⊥AD.一动点P从A出发,以每秒1cm的速度沿A→B→C的路线匀速运动,过点P作直线PM,使PM⊥AD.(1)当点P运动2秒时,设直线PM与AD相交于点E,求△APE的面积;
(2)当点P运动2秒时,另一动点Q也从A出发沿A→B→C的路线运动,且在AB上以每秒1cm的速度匀速运动,在BC上以每秒2cm的速度匀速运动.过Q作直线QN,使QN∥PM.设点Q运动的时间为t秒(0≤t≤10),直线PM与QN截平行四边形ABCD所得图形的面积为Scm2.
①求S关于t的函数关系式;
②(附加题)求S的最大值.
【答案】分析:(1)在三角形AEP中,AP=2,∠A=60°,利用三角函数可求出AE和PE,即可求出面积;
(2)①此题应分情况讨论,因为两个动点运动速度不同,所以有点P与点Q都在AB上运动、点P在BC上运动点Q仍在AB上运动、点P和点Q都在BC上运动三种情况,在每种情况下可利用三角函数分别求出我们所需要的值,进而求解.
②在①的基础上,首先①求出函数关系式之后,根据t的取值范围不同函数最大值也不同.
解答:解:(1)当点P运动2秒时,AP=2cm,由∠A=60°,知AE=1,PE=
.(2分)
∴S△APE=
;(4分)
(2)①当0≤t<6时,点P与点Q都在AB上运动,如图所示:

设PM与AD交于点G,QN与AD交于点F,
则AQ=t,AF=
,QF=
t,
AP=t+2,AG=1+
,PG=
+
t.
∴此时两平行线截平行四边形ABCD的面积为S=
t+
;(8分)
②当6≤t<8时,点P在BC上运动,点Q仍在AB上运动.如图所示:

设PM与DC交于点G,QN与AD交于点F,则AQ=t,AF=
,
DF=4-
,QF=
t,BP=t-6,CP=10-t,PG=(10-t)
,
而BD=4
,故此时两平行线截平行四边形ABCD的面积为S=-
t2+10
t-34
,(10分)
③当8≤t≤10时,点P和点Q都在BC上运动.如图所示:

设PM与DC交于点G,QN与DC交于点F,则CQ=20-2t,QF=(20-2t)
,
CP=10-t,PG=(10-t)
.
∴此时两平行线截平行四边形ABCD的面积为S=
.(14分)
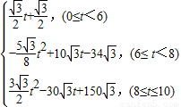
故S关于t的函数关系式为
;
②(附加题)当0≤t<6时,S的最大值为
,(1分)
当6≤t<8时,S的最大值为6
,(舍去),(2分)
当8≤t≤10时,S的最大值为6
,(3分)
所以当t=8时,S有最大值为6
.(4分)
(如正确作出函数图象并根据图象得出最大值,同样给4分)
点评:此题解答需数形结合,把函数知识和几何知识紧密联系在一起,难易程度适中.
(2)①此题应分情况讨论,因为两个动点运动速度不同,所以有点P与点Q都在AB上运动、点P在BC上运动点Q仍在AB上运动、点P和点Q都在BC上运动三种情况,在每种情况下可利用三角函数分别求出我们所需要的值,进而求解.
②在①的基础上,首先①求出函数关系式之后,根据t的取值范围不同函数最大值也不同.
解答:解:(1)当点P运动2秒时,AP=2cm,由∠A=60°,知AE=1,PE=
∴S△APE=
(2)①当0≤t<6时,点P与点Q都在AB上运动,如图所示:
设PM与AD交于点G,QN与AD交于点F,
则AQ=t,AF=
AP=t+2,AG=1+
∴此时两平行线截平行四边形ABCD的面积为S=
②当6≤t<8时,点P在BC上运动,点Q仍在AB上运动.如图所示:
设PM与DC交于点G,QN与AD交于点F,则AQ=t,AF=
DF=4-
而BD=4
③当8≤t≤10时,点P和点Q都在BC上运动.如图所示:
设PM与DC交于点G,QN与DC交于点F,则CQ=20-2t,QF=(20-2t)
CP=10-t,PG=(10-t)
∴此时两平行线截平行四边形ABCD的面积为S=
故S关于t的函数关系式为
②(附加题)当0≤t<6时,S的最大值为
当6≤t<8时,S的最大值为6
当8≤t≤10时,S的最大值为6
所以当t=8时,S有最大值为6
(如正确作出函数图象并根据图象得出最大值,同样给4分)
点评:此题解答需数形结合,把函数知识和几何知识紧密联系在一起,难易程度适中.
练习册系列答案
相关题目
| 2 |
| 3 |
| 5 |
| A、AC⊥BD |
| B、四边形ABCD是菱形 |
| C、△ABO≌△CBO |
| D、AC=BD |