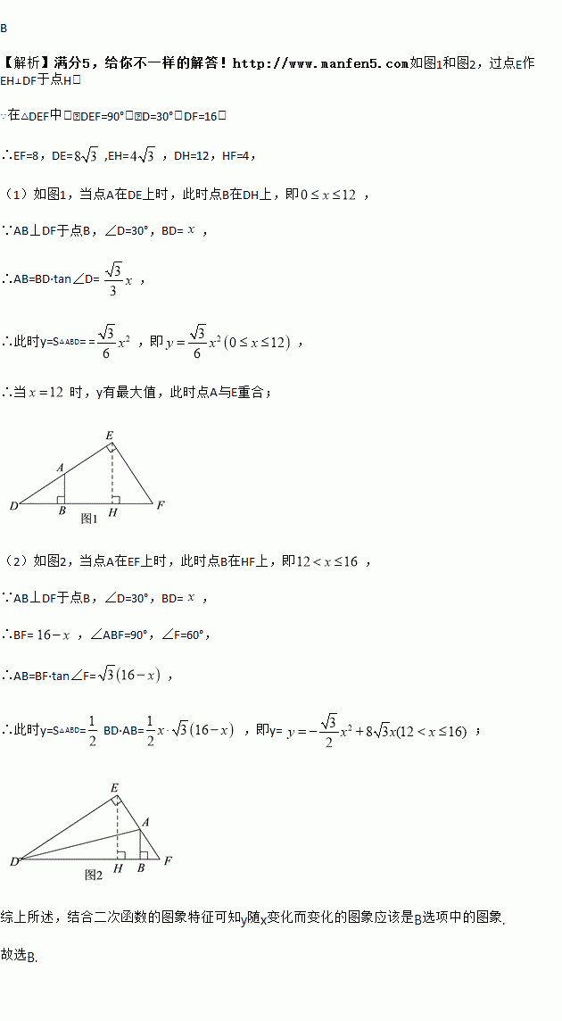
题目内容
如图所示,△DEF中,∠DEF=90°,∠D=30°,DF=16,B是斜边DF上一动点,过B作AB⊥DF于B,交边DE(或边EF)于点A,设BD=x,△ABD的面积为y,则y与x之间的函数图象大致为( )
![]()
![]()
A. (A) B. (B) C. (C) D. (D)
练习册系列答案
相关题目
题目内容
如图所示,△DEF中,∠DEF=90°,∠D=30°,DF=16,B是斜边DF上一动点,过B作AB⊥DF于B,交边DE(或边EF)于点A,设BD=x,△ABD的面积为y,则y与x之间的函数图象大致为( )
![]()
![]()
A. (A) B. (B) C. (C) D. (D)