题目内容
满足m2+n2+2m-6n+10=0的是( ).
A. m=1,n=3 B. m=1,n=-3 C. m=-1,n=3 D. m=-1,n=-3
为了了解一批电视机的寿命,从中抽取100台电视机进行试验,这个问题的样本是( )
A. 这批电视机 B. 这批电视机的寿命
C. 抽取的100台电视机的寿命 D. 100
已知双曲线经过点(-2,3),那么k的值等于 .
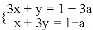
求关于x、y的方程组的解x、y都是正数,求m的取值范围.
不等式组的解集是____________.
要使代数式有意义,则x的取值范围是( ).
A. x≤-2 B. x-≥2 C. x≥2 D. x≤2
小亚和小迪两人下棋,共下了17盘。积分规则为胜一盘得1分,负一盘得0分,和棋各得0.5分,最终小亚以净胜小迪2分的优势获胜。问两位棋手最后的积分各是多少?
若方程组的解满足,则的值为
A. B. C. D. 不能确定
如图,已知AB∥CD∥EF,BC∥AD,AC平分∠BAD,那么图中与∠ACB相等的角有( )
A. 5个 B. 4个 C. 3个 D. 2个