题目内容
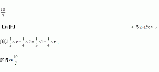
规定一种运算“※”,※,则方程※2=1※的解为________.
二元一次方程组的解是( )
A. B. C. D.
已知是一元一次方程的解,则的值是 .
若﹣1<a<0,则a,,a2由小到大排列正确的是( )
A.a2<a< B.a<<a2 C.<a<a2 D.a<a2<
(8分)一项工程,甲单独完成要20天,乙单独完成要25天,现由甲先做2天,然后甲、乙合做余下的部分还要多少天才能完成这项工程.
平方等于16的数有_____.
下列说法:①如果两个数的积为1,则这两个数互为倒数;②如果两个数和为0,则至少有一个数为0;③绝对值是本身的有理数只有1;④倒数是本身的数是﹣1,0,1.⑤零有相反数.其中错误的个数是( )
A. 0个 B. 1个 C. 2个 D. 3个
如图,直线y=m与反比例函数和的图象分别交于A、B两点,点C是x轴上任意一点,则△ABC的面积为( )
A.1
B.3
C.4
D.8
某学校“体育课外活动兴趣小组”,开设了以下体育课外活动项目:A.足球 B.乒乓球C.羽毛球 D.篮球,为了解学生最喜欢哪一种活动项目,随机抽取了部分学生进行调查,并将调查结果绘制成了两幅不完整的统计图,请回答下列问题:
(1)这次被调查的学生共有 人,在扇形统计图中“D”对应的圆心角的度数为 ;
(2)请你将条形统计图补充完整;
(3)在平时的乒乓球项目训练中,甲、乙、丙、丁四人表现优秀,现决定从这四名同学中任选两名参加市里组织的乒乓球比赛,求恰好选中甲、乙两位同学的概率(用树状图或列表法解答).