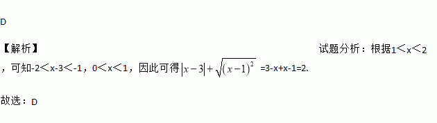
题目内容
若1<x<2,则的值为( )
A. 2x-4 B. -2 C. 4-2x D. 2
如图所示BC//DE,∠1=108°,∠AED=75°,则∠A的大小是( )
A. 60° B. 33° C. 30° D. 23°
已知x﹣3y=3,则6﹣x+3y的值是________.
一架方梯AB长25米,如图所示,斜靠在一面上:
(1)若梯子底端离墙7米,这个梯子的顶端距地面有多高?
(2)在(1)的条件下,如果梯子的顶端下滑了4米,那么梯子的底端在水平方向滑动了几米?
一个三角形的三边长分别为15cm、20cm、25cm,则这个三角形最长边上的高是 cm.
直角三角形两条直角边长分别是5和12,则第三边上的中线长为( )
A. 5 B. 6 C. 6.5 D. 12
,则的值为__________.
以下永洁环保、绿色食品、节能、绿色环保四个标志中,是轴对称图形是( )
A. B. C. D.
若反比例函数y=的图象经过点(),则这个函数的图象一定经过点( )
A. (2,﹣1) B. (﹣,2) C. (﹣2,﹣1) D. (,2)