题目内容
(1)如图,A1,A2,A3是抛物线y=(2)若将(1)问中的抛物线改为y=
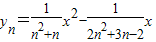
(3)现有一抛物线组:y1=
(4)在(3)问条件下,当n>10时有Sn-10+Sn-9+Sn-8+…Sn的值不小于
【答案】分析:(1)已知抛物线解析式,求出A1,A2,A3三点的坐标,根据图中几何关系把所求三角形的面积,转化为一个大梯形面积减去两个小梯形的面积,从而求出三角形的面积.第二问与第一问解法一样;
(3)由y1,y2…y5的表达式,归纳出yn的表达式,同时推出面积公式Sn,然后求和.
(4)由(3)的结论,先求和再求n是否存在最大值.
解答:解:(1)∵A1(1,
),A2(2,1),A3(3,
),(1分)
∴S△A1A2A3=S梯形A1ACA3-S梯形A1ABA2-S梯形A2BCA3=
.
(3分)
(2)①
,(4分)
②
.(5分)
(3)由规律知:
或写成(
),(6分)
由(1)(2)知:S1+S2+S3+…+S10=
=
=
.(8分)
(4)存在,
由上知:Sn-10+Sn-9+Sn-8+…Sn=
=
=
,(9分)
∵
∴
,
∵n>10,
∴n2-9n-10>0,
∴n2-9n-10≤242,(10分)
解得-12≤n≤21,
又∵n>10,
∴10<n≤21,(11分)
∴存在n的最大值,其值为n=21.(12分)
点评:此题是一道规律题,考查抛物线基本性质,巧妙用几何关系,求三角形面积,归纳出规律然后求和,最后一问探究正整数n是否存在最大值,转化为求函数最值问题.
(3)由y1,y2…y5的表达式,归纳出yn的表达式,同时推出面积公式Sn,然后求和.
(4)由(3)的结论,先求和再求n是否存在最大值.
解答:解:(1)∵A1(1,
∴S△A1A2A3=S梯形A1ACA3-S梯形A1ABA2-S梯形A2BCA3=
(3分)
(2)①
②
(3)由规律知:
由(1)(2)知:S1+S2+S3+…+S10=
(4)存在,
由上知:Sn-10+Sn-9+Sn-8+…Sn=
∵
∴
∵n>10,
∴n2-9n-10>0,
∴n2-9n-10≤242,(10分)
解得-12≤n≤21,
又∵n>10,
∴10<n≤21,(11分)
∴存在n的最大值,其值为n=21.(12分)
点评:此题是一道规律题,考查抛物线基本性质,巧妙用几何关系,求三角形面积,归纳出规律然后求和,最后一问探究正整数n是否存在最大值,转化为求函数最值问题.
练习册系列答案
相关题目