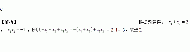
题目内容
若方程
的两根为
,则
的值为![]()
A.
B. 1 C.
D. 3
练习册系列答案
相关题目
甲、乙两个仓库向A、B两地运送水泥,已知甲库可调出100吨水泥,乙库可调出80吨水泥,A地需70吨,B地需110吨水泥,两库到A,B两地的路程和费用如下表:(表中运费“元/吨·千米”表示每吨水泥运送1千米所需要人民币).
路程(千米) | 运费(元/吨·千米) | |||
甲库 | 乙库 | 甲库 | 乙库 | |
A地 | 20 | 15 | 12 | 12 |
B地 | 25 | 20 | 10 | 8 |
设甲库运往A地水泥x吨,总运费W元.
(1)写出w关于x的函数关系式,并求x为何值时总运费最小?
(2)如果要求运送的水泥数是10吨的整数倍,且运费不能超过38000元,则总共有几种运送方案?