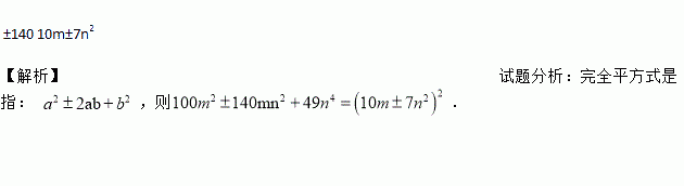
题目内容
100m2+(____________)mn2+49n4=(_______________)2.
练习册系列答案
相关题目
按下列程序计算,把答案填写在表格里,然后看看有什么规律,想想为什么会有
这个规律?
![]()
![]()
(1)填写表内空格:
输入 | 3 | 2 | -2 |
| … |
输出答案 | 0 | … |
(2)你发现的规律是____________.
(3)用简要过程说明你发现的规律的正确性.
题目内容
100m2+(____________)mn2+49n4=(_______________)2.
按下列程序计算,把答案填写在表格里,然后看看有什么规律,想想为什么会有
这个规律?
![]()
![]()
(1)填写表内空格:
输入 | 3 | 2 | -2 |
| … |
输出答案 | 0 | … |
(2)你发现的规律是____________.
(3)用简要过程说明你发现的规律的正确性.