题目内容
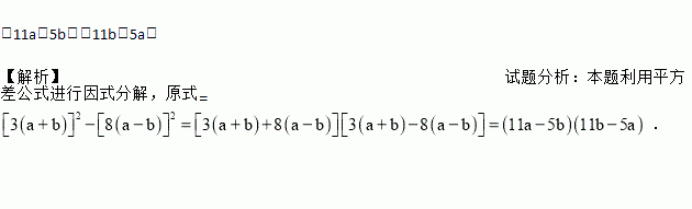
将9(a+b)2-64(a-b)2分解因式为____________.
如图,图(1)是几何体(2)的___________视图.
在矩形中, , , 平分,过点作于,延长、交于点,下列结论中:①;②;③ ;④,正确的序号是___
幸福小区里有一块边长为25.75 m的正方形休闲区域,其中有一座正方形儿童滑梯,占地约为4.252 m2,那么余下的面积为多少?
100m2+(____________)mn2+49n4=(_______________)2.
已知54-1能被20~30之间的两个整数整除,则这两个整数是( )
A. 25,27 B. 26,28 C. 24,26 D. 22,24
如图,△ABC中,点D,E分别是边BC,AC的中点,连接DE,AD,点F在BA的延长线上,且AF=AB,连接EF,判断四边形ADEF的形状,并加以证明.
D、E分别是不等边三角形ABC(即AB≠BC≠AC)的边AB、AC的中点.O是△ABC所在平面上的动点,连接OB、OC,点G、F分别是OB、OC的中点,顺次连接点D、G、F、E.
(1)如图,当点O在△ABC的内部时,求证:四边形DGFE是平行四边形;
(2)若四边形DGFE是菱形,则OA与BC应满足怎样的数量关系?(直接写出答案,不需要说明理由.)
如图,一架梯子的长度为25米,斜靠在墙上,梯子低部离墙底端为7米.
(1)这个梯子顶端离地面有 米;
(2)如果梯子的顶端下滑了4米,那么梯子的底部在水平方向滑动了几米?