题目内容

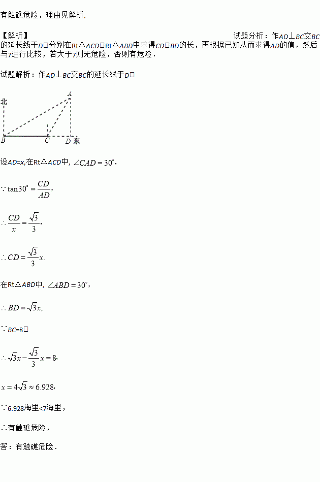
如图,已知灯塔A的周围7海里的范围内有暗礁,一艘渔轮在B处测得灯塔A在北偏东60°的方向,向正东航行8海里到C处后,又测得该灯塔在北偏东30°方向,渔轮不改变航向,继续向东航行,有没有触礁危险?请通过计算说明理由.(参考数据≈1.732)

有触礁危险,理由见解析. 【解析】试题分析:作AD⊥BC交BC的延长线于D,分别在Rt△ACD,Rt△ABD中求得CD、BD的长,再根据已知从而求得AD的值,然后与7进行比较,若大于7则无危险,否则有危险. 试题解析:作AD⊥BC交BC的延长线于D, 设AD=x,在Rt△ACD中, 在Rt△ABD中, ∵BC=8, ∵6.928海里<7海里, ∴有触礁危险...
练习册系列答案
相关题目

直角坐标系中,已知点P(-2,-1),点T(t,0)是x轴上的一个动点.

(1)求点P关于原点的对称点P′的坐标;

(2)当t取何值时,△P′TO是等腰三角形?

(1)点P关于原点的对称点P′的坐标为(2,1);(2)综上所述,符合条件的t的值为-, , ,4. 【解析】试题分析: (1)根据坐标关于原点对称的特点即可得出点P′的坐标,(2)要分类讨论,动点T在原点左侧和右侧时分别进行讨论即可得出当t取何值时,△P′TO是等腰三角形. 试题解析:(1) 点P关于原点的对称点P′的坐标为(2,1). (2)OP′=. (a)动点T在原...

下面说法错误的是 (  )

A. 三角形的三条角平分线交于一点 B. 三角形的三条中线交于一点

C. 三角形的三条高交于一点 D. 三角形的三条高所在的直线交于一点

C 【解析】A. 三角形的三条角平分线交于一点,是三角形的内心,故命题正确; B. 三角形的三条中线交于一点,是三角形的重心,故命题正确; 三角形的三条高所在的直线交于一点,三条高不一定相交,故C错误,D正确。 故选C.

如图,已知△ABC和△BDE均为等边三角形.试说明:BD+CD=AD.

见解析 【解析】首先证明△ABE≌△CBD,进而得到DC=AE,再由AD=AE+ED利用等量代换即可证出AD=BD+CD. 证明:因为△ABC,△BDE均为等边三角形, 所以BE=BD=DE,AB=BC,∠ABC=∠EBD=60°. 所以∠ABE+∠EBC=∠DBC+∠EBC. 所以∠ABE=∠DBC. 在△ABE和△CBD中, 所以△ABE≌△CBD(S...

如图,图案⑥是由图①~⑤中五种基本图形中的两种拼接而成的,则这两种基本图形是(  )

A. ①② B. ①③ C. ①④ D. ③⑤

B 【解析】根据已知图形,利用分割与组合的原理对图形进行分析即可. 【解析】 如图所示:图案⑥是由图①和图③这两种基本图形拼接而成的. 故选:B.

如图,已知tan O=,点P在边OA上,OP=5,点M,N在边OB上,PM=PN,如果MN=2,那么PM=________.

【解析】试题解析:过P作PD⊥OB,交OB于点D, ∴设PD=4x,则OD=3x, ∵OP=5,由勾股定理得: ∴x=1, ∴PD=4, ∵PM=PN,PD⊥OB,MN=2 在Rt△PMD中,由勾股定理得: 故答案为:

在Rt△ABC中,∠C=90°,∠A、∠B、∠C所对的边分别为a、b、c,下列等式中不一定成立的是(  )

A. b=atanB B. a=ccosB C. c= D. a=bcosA

D 【解析】∵∠C=90°,∠A、∠B、∠C所对的边分别为a、b、c, ∴A.tanB= ,则b=atanB,故本选项正确, B.cosB= ,故本选项正确, C.sinA= ,故本选项正确, D.cosA= ,故本选项错误, 故选D.

当角度在0°到90°之间变化时,函数值随着角度的增大而增大的三角函数是(  )

A. 正弦和余弦 B. 正弦和正切 C. 余弦和正切 D. 正弦、余弦和正切

B 【解析】当角度在0°到90°之间变化时,函数值随着角度的增大而增大的三角函数是正弦和正切. 故选B.

如图所示,两建筑物的水平距离为24 m,从A点测得D点的俯角为60°,测得C点的仰角为40°,求这两座建筑物的高.(≈1.732,tan 40°≈0.8391,精确到0.01 m)

61.7l m 【解析】试题分析:过点A作AE⊥CD于点E,可得四边形ABDE为矩形,AB=ED,BD=AE,然后在Rt△AED和Rt△AEC中,分别求出DE和EC的长度,继而可求得建筑物CD的高度和建筑物AB的高度. 试题解析:作AE⊥CD于E, 则AE=BD=24m, 在Rt△AED中,tan∠DAE=, ∴DE=AEtan 60°≈24×1.732≈41.57(...

违法和不良信息举报电话:027-86699610 举报邮箱:58377363@163.com

精英家教网