题目内容
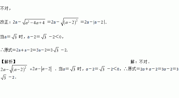
先化简,再求值:2a-,其中a=.小刚的解法如下:2a-=2a-=2a-(a-2)=2a-a+2=a+2,当a=时,2a-=+2.小刚的解法对吗?若不对,请改正.
瞭望台AB高20m,从瞭望台底部B测得对面塔顶C的仰角为60°,从瞭望台顶部A测得塔顶C的仰角为45°,已知瞭望台与塔CD地势高低相同.求塔高CD.
看图填空:
已知:如图,AD⊥BC于D,EF⊥BC于F,交AB于G,交CA延长线于E,∠1=∠2.求证:AD平分∠BAC.
证明:∵AD⊥BC,EF⊥BC(已知)
∴∠ADC=90°,∠EFC=90°(垂线的定义)
∴ =
∥
∴∠1=
∠2=
∵∠1=∠2(已知)
∴AD平分∠BAC(角平分线定义)
如图, 下列各式中正确的是( )
A. B.
C. D.
如图,PO⊥OR,OQ⊥PR,则点O到PR所在直线的距离是线段( )的长
A. PO B. RO C. OQ D. PQ
计算:
(1) ÷-×+;
(2)(2-)2 018(2+)2 017-2×|- |-()0.
如图,数轴上A,B两点对应的实数分别是1和,若A点关于B点的对称点为点C,则点C所对应的实数为( )
A. 2-1 B. 1+ C. 2+ D. 2+1
计算: .
不等式组的最小整数解是________.